<?xml version="1.0" encoding="UTF-8"?>
<rss version="2.0" xmlns:content="http://purl.org/rss/1.0/modules/content/" xmlns:dc="http://purl.org/dc/elements/1.1/">
	<channel>
		<title><![CDATA[Forums - World of Ragnarok Online]]></title>
		<link>https://uaro.kiev.ua/forum/</link>
		<description><![CDATA[Forums - https://uaro.kiev.ua/forum]]></description>
		<pubDate>Wed, 15 Apr 2026 14:45:56 +0000</pubDate>
		<generator>MyBB</generator>
		<item>
			<title><![CDATA[Elemental Daggers]]></title>
			<link>https://uaro.kiev.ua/forum/showthread.php?tid=155</link>
			<pubDate>Sun, 07 Sep 2025 12:37:05 +0000</pubDate>
			<dc:creator><![CDATA[<a href="https://uaro.kiev.ua/forum/member.php?action=profile&uid=121">Godfire.GG</a>]]></dc:creator>
			<guid isPermaLink="false">https://uaro.kiev.ua/forum/showthread.php?tid=155</guid>
			<description><![CDATA[Anyone here who can sell me wind elemental weapons (preferably a Damascus)? I just started a few weeks ago, and I thought it would be much faster to level up if I could get hold of elemental weapons.]]></description>
			<content:encoded><![CDATA[Anyone here who can sell me wind elemental weapons (preferably a Damascus)? I just started a few weeks ago, and I thought it would be much faster to level up if I could get hold of elemental weapons.]]></content:encoded>
		</item>
		<item>
			<title><![CDATA[MVP Drake (1112) is not revive ?]]></title>
			<link>https://uaro.kiev.ua/forum/showthread.php?tid=135</link>
			<pubDate>Sun, 16 Mar 2025 02:15:38 +0000</pubDate>
			<dc:creator><![CDATA[<a href="https://uaro.kiev.ua/forum/member.php?action=profile&uid=55">tim</a>]]></dc:creator>
			<guid isPermaLink="false">https://uaro.kiev.ua/forum/showthread.php?tid=135</guid>
			<description><![CDATA[hello all,<br />
<br />
this mvp monster Drake, id(1112) will not be <span style="color: #474747;" class="mycode_color"><span style="font-family: Arial, sans-serif;" class="mycode_font">resurrect ?</span></span><br />
<br />
i found it many times,but always not found.]]></description>
			<content:encoded><![CDATA[hello all,<br />
<br />
this mvp monster Drake, id(1112) will not be <span style="color: #474747;" class="mycode_color"><span style="font-family: Arial, sans-serif;" class="mycode_font">resurrect ?</span></span><br />
<br />
i found it many times,but always not found.]]></content:encoded>
		</item>
		<item>
			<title><![CDATA[Question about cards & Porcellio Card]]></title>
			<link>https://uaro.kiev.ua/forum/showthread.php?tid=129</link>
			<pubDate>Mon, 27 Jan 2025 00:13:12 +0000</pubDate>
			<dc:creator><![CDATA[<a href="https://uaro.kiev.ua/forum/member.php?action=profile&uid=53">Kumipippeli</a>]]></dc:creator>
			<guid isPermaLink="false">https://uaro.kiev.ua/forum/showthread.php?tid=129</guid>
			<description><![CDATA[Can you insert same card multiple times into an item? Let's say you'd like to insert 2 Zipper Bear Cards on a Damascus with 2 slots, is that possible?<br />
<br />
Second question is, does the Porcellio Card exist in this version of the game?]]></description>
			<content:encoded><![CDATA[Can you insert same card multiple times into an item? Let's say you'd like to insert 2 Zipper Bear Cards on a Damascus with 2 slots, is that possible?<br />
<br />
Second question is, does the Porcellio Card exist in this version of the game?]]></content:encoded>
		</item>
		<item>
			<title><![CDATA[Side Winder Card]]></title>
			<link>https://uaro.kiev.ua/forum/showthread.php?tid=127</link>
			<pubDate>Mon, 20 Jan 2025 17:19:34 +0000</pubDate>
			<dc:creator><![CDATA[<a href="https://uaro.kiev.ua/forum/member.php?action=profile&uid=53">Kumipippeli</a>]]></dc:creator>
			<guid isPermaLink="false">https://uaro.kiev.ua/forum/showthread.php?tid=127</guid>
			<description><![CDATA[Does Side Winder Card enable you to use Double Attack with Katars on this server?]]></description>
			<content:encoded><![CDATA[Does Side Winder Card enable you to use Double Attack with Katars on this server?]]></content:encoded>
		</item>
		<item>
			<title><![CDATA[For newbies]]></title>
			<link>https://uaro.kiev.ua/forum/showthread.php?tid=115</link>
			<pubDate>Fri, 20 Dec 2024 00:37:31 +0000</pubDate>
			<dc:creator><![CDATA[<a href="https://uaro.kiev.ua/forum/member.php?action=profile&uid=11">eer23</a>]]></dc:creator>
			<guid isPermaLink="false">https://uaro.kiev.ua/forum/showthread.php?tid=115</guid>
			<description><![CDATA[i can help newbies and alot ppl here help me helping if you Newbies you can msg here and i be msg to you and ccomming and help ok??]]></description>
			<content:encoded><![CDATA[i can help newbies and alot ppl here help me helping if you Newbies you can msg here and i be msg to you and ccomming and help ok??]]></content:encoded>
		</item>
		<item>
			<title><![CDATA[new here]]></title>
			<link>https://uaro.kiev.ua/forum/showthread.php?tid=113</link>
			<pubDate>Wed, 18 Dec 2024 01:30:44 +0000</pubDate>
			<dc:creator><![CDATA[<a href="https://uaro.kiev.ua/forum/member.php?action=profile&uid=49">Marky</a>]]></dc:creator>
			<guid isPermaLink="false">https://uaro.kiev.ua/forum/showthread.php?tid=113</guid>
			<description><![CDATA[hi everyone, new player here. can anyone lend me elemental dagger, wind or fire for my thief. thank you]]></description>
			<content:encoded><![CDATA[hi everyone, new player here. can anyone lend me elemental dagger, wind or fire for my thief. thank you]]></content:encoded>
		</item>
		<item>
			<title><![CDATA[Quest for entrance in Kiel Robot Factory]]></title>
			<link>https://uaro.kiev.ua/forum/showthread.php?tid=101</link>
			<pubDate>Mon, 21 Oct 2024 18:19:05 +0000</pubDate>
			<dc:creator><![CDATA[<a href="https://uaro.kiev.ua/forum/member.php?action=profile&uid=25">KabukiJo</a>]]></dc:creator>
			<guid isPermaLink="false">https://uaro.kiev.ua/forum/showthread.php?tid=101</guid>
			<description><![CDATA[Cant find a bar in Yuno, where quest started. if anyone help wiz full quest for entrance.<br />
Tnx.<br />
Якщо хтось знає квест в Лабораторію Кіеля, бо не можу знайти в Юно бар де початок квесту. Підкажіть будь ласка.]]></description>
			<content:encoded><![CDATA[Cant find a bar in Yuno, where quest started. if anyone help wiz full quest for entrance.<br />
Tnx.<br />
Якщо хтось знає квест в Лабораторію Кіеля, бо не можу знайти в Юно бар де початок квесту. Підкажіть будь ласка.]]></content:encoded>
		</item>
		<item>
			<title><![CDATA[Endless Tower]]></title>
			<link>https://uaro.kiev.ua/forum/showthread.php?tid=97</link>
			<pubDate>Fri, 18 Oct 2024 12:51:03 +0000</pubDate>
			<dc:creator><![CDATA[<a href="https://uaro.kiev.ua/forum/member.php?action=profile&uid=11">eer23</a>]]></dc:creator>
			<guid isPermaLink="false">https://uaro.kiev.ua/forum/showthread.php?tid=97</guid>
			<description><![CDATA[зробиш чи він є? Привіт<br />
<br />
бо щось шукаєм немає]]></description>
			<content:encoded><![CDATA[зробиш чи він є? Привіт<br />
<br />
бо щось шукаєм немає]]></content:encoded>
		</item>
		<item>
			<title><![CDATA[Guild Master come here]]></title>
			<link>https://uaro.kiev.ua/forum/showthread.php?tid=96</link>
			<pubDate>Mon, 14 Oct 2024 20:17:24 +0000</pubDate>
			<dc:creator><![CDATA[<a href="https://uaro.kiev.ua/forum/member.php?action=profile&uid=11">eer23</a>]]></dc:creator>
			<guid isPermaLink="false">https://uaro.kiev.ua/forum/showthread.php?tid=96</guid>
			<description><![CDATA[Who is now play in this server? come back, and say GM make Guild War for one Town and x10 in this town and go Fight?!]]></description>
			<content:encoded><![CDATA[Who is now play in this server? come back, and say GM make Guild War for one Town and x10 in this town and go Fight?!]]></content:encoded>
		</item>
		<item>
			<title><![CDATA[TO GM on Ukrainian]]></title>
			<link>https://uaro.kiev.ua/forum/showthread.php?tid=87</link>
			<pubDate>Wed, 21 Aug 2024 23:52:58 +0000</pubDate>
			<dc:creator><![CDATA[<a href="https://uaro.kiev.ua/forum/member.php?action=profile&uid=11">eer23</a>]]></dc:creator>
			<guid isPermaLink="false">https://uaro.kiev.ua/forum/showthread.php?tid=87</guid>
			<description><![CDATA[@duel - треба чекати після 1 дуелі 1 годину вродіби чи 30 хв... - зміни будь ласка на безлім<br />
маю наувазі після Дуельки є ДК - зніми його, дякую<br />
<br />
Ми маєм багато ботів, хто як я лише два - не як ти ГМ. але якийсь квест аби він був з ботами але не був таким легким можна придумати - дякую<br />
Вприклад 15 карт = 1 ОКА - но тут чуть більше напевне 30<br />
<br />
ще якщо ти побачиш то зроби ГВ хоч одне за один замок з плюшками якимись (якщо це можливо) Центр пронти в якийсь то час ( вкажи час по Київу чи по 0 будь який аби орінтувались, так само всі ГВ бо немає часу орієнтування) - аби в тій пронтері х10 випадало чи щось ще... раз в місяць, раз в тиждень це твоє рішення<br />
<br />
а так то всьо файно дякую що прочитав)]]></description>
			<content:encoded><![CDATA[@duel - треба чекати після 1 дуелі 1 годину вродіби чи 30 хв... - зміни будь ласка на безлім<br />
маю наувазі після Дуельки є ДК - зніми його, дякую<br />
<br />
Ми маєм багато ботів, хто як я лише два - не як ти ГМ. але якийсь квест аби він був з ботами але не був таким легким можна придумати - дякую<br />
Вприклад 15 карт = 1 ОКА - но тут чуть більше напевне 30<br />
<br />
ще якщо ти побачиш то зроби ГВ хоч одне за один замок з плюшками якимись (якщо це можливо) Центр пронти в якийсь то час ( вкажи час по Київу чи по 0 будь який аби орінтувались, так само всі ГВ бо немає часу орієнтування) - аби в тій пронтері х10 випадало чи щось ще... раз в місяць, раз в тиждень це твоє рішення<br />
<br />
а так то всьо файно дякую що прочитав)]]></content:encoded>
		</item>
		<item>
			<title><![CDATA[Kaho card help me pls]]></title>
			<link>https://uaro.kiev.ua/forum/showthread.php?tid=86</link>
			<pubDate>Wed, 14 Aug 2024 20:06:02 +0000</pubDate>
			<dc:creator><![CDATA[<a href="https://uaro.kiev.ua/forum/member.php?action=profile&uid=11">eer23</a>]]></dc:creator>
			<guid isPermaLink="false">https://uaro.kiev.ua/forum/showthread.php?tid=86</guid>
			<description><![CDATA[i see some have party in Magma dng<br />
<br />
Can you give me 3 Kaho card pls for my BOW?<br />
<br />
Thanks]]></description>
			<content:encoded><![CDATA[i see some have party in Magma dng<br />
<br />
Can you give me 3 Kaho card pls for my BOW?<br />
<br />
Thanks]]></content:encoded>
		</item>
		<item>
			<title><![CDATA[Exps (Table)]]></title>
			<link>https://uaro.kiev.ua/forum/showthread.php?tid=82</link>
			<pubDate>Wed, 07 Aug 2024 09:52:41 +0000</pubDate>
			<dc:creator><![CDATA[<a href="https://uaro.kiev.ua/forum/member.php?action=profile&uid=3">Sergio</a>]]></dc:creator>
			<guid isPermaLink="false">https://uaro.kiev.ua/forum/showthread.php?tid=82</guid>
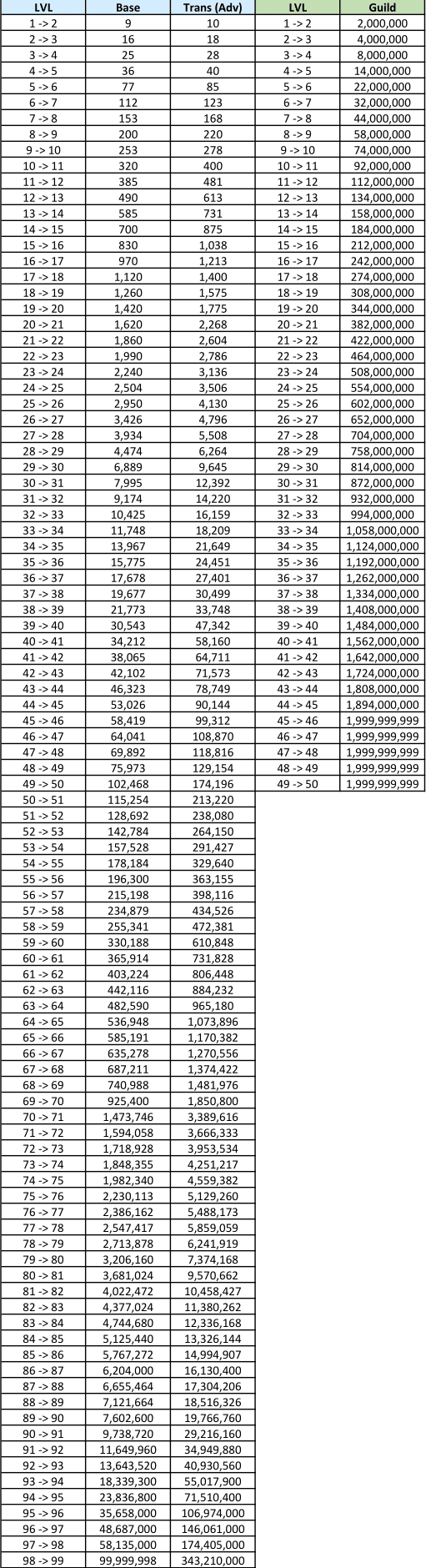
			<description><![CDATA[<div style="text-align: center;" class="mycode_align"><!-- start: postbit_attachments_attachment -->
<br /><!-- start: attachment_icon -->
<img src="https://uaro.kiev.ua/forum/images/attachtypes/image.png" title="PNG Image" border="0" alt=".png" />
<!-- end: attachment_icon -->&nbsp;&nbsp;<a href="attachment.php?aid=54" target="_blank" title="">1-1.png</a> (Size: 260.74 KB / Downloads: 164)
<!-- end: postbit_attachments_attachment --></div>
<div style="text-align: right;" class="mycode_align">Sources</div>
<div style="text-align: right;" class="mycode_align"><a href="https://ratemyserver.net/index.php?page=misc_table_exp&amp;op=1" target="_blank" rel="noopener" class="mycode_url">https://ratemyserver.net/index.php?page=...e_exp&amp;op=1</a></div>
<div style="text-align: right;" class="mycode_align"><a href="https://ratemyserver.net/index.php?page=misc_table_exp&amp;op=2" target="_blank" rel="noopener" class="mycode_url">https://ratemyserver.net/index.php?page=...e_exp&amp;op=2</a></div>
<div style="text-align: right;" class="mycode_align"><a href="https://ratemyserver.net/index.php?page=misc_table_exp&amp;op=19" target="_blank" rel="noopener" class="mycode_url">https://ratemyserver.net/index.php?page=..._exp&amp;op=19</a></div>]]></description>
			<content:encoded><![CDATA[<div style="text-align: center;" class="mycode_align"><!-- start: postbit_attachments_attachment -->
<br /><!-- start: attachment_icon -->
<img src="https://uaro.kiev.ua/forum/images/attachtypes/image.png" title="PNG Image" border="0" alt=".png" />
<!-- end: attachment_icon -->&nbsp;&nbsp;<a href="attachment.php?aid=54" target="_blank" title="">1-1.png</a> (Size: 260.74 KB / Downloads: 164)
<!-- end: postbit_attachments_attachment --></div>
<div style="text-align: right;" class="mycode_align">Sources</div>
<div style="text-align: right;" class="mycode_align"><a href="https://ratemyserver.net/index.php?page=misc_table_exp&amp;op=1" target="_blank" rel="noopener" class="mycode_url">https://ratemyserver.net/index.php?page=...e_exp&amp;op=1</a></div>
<div style="text-align: right;" class="mycode_align"><a href="https://ratemyserver.net/index.php?page=misc_table_exp&amp;op=2" target="_blank" rel="noopener" class="mycode_url">https://ratemyserver.net/index.php?page=...e_exp&amp;op=2</a></div>
<div style="text-align: right;" class="mycode_align"><a href="https://ratemyserver.net/index.php?page=misc_table_exp&amp;op=19" target="_blank" rel="noopener" class="mycode_url">https://ratemyserver.net/index.php?page=..._exp&amp;op=19</a></div>]]></content:encoded>
		</item>
		<item>
			<title><![CDATA[Some body have HALO?]]></title>
			<link>https://uaro.kiev.ua/forum/showthread.php?tid=76</link>
			<pubDate>Wed, 17 Jul 2024 18:15:12 +0000</pubDate>
			<dc:creator><![CDATA[<a href="https://uaro.kiev.ua/forum/member.php?action=profile&uid=11">eer23</a>]]></dc:creator>
			<guid isPermaLink="false">https://uaro.kiev.ua/forum/showthread.php?tid=76</guid>
			<description><![CDATA[Somebody can give me HALO for my GC Crusader?<br /><!-- start: postbit_attachments_attachment -->
<br /><!-- start: attachment_icon -->
<img src="https://uaro.kiev.ua/forum/images/attachtypes/image.png" title="PNG Image" border="0" alt=".png" />
<!-- end: attachment_icon -->&nbsp;&nbsp;<a href="attachment.php?aid=48" target="_blank" title="">Без імені.png</a> (Size: 61.36 KB / Downloads: 137)
<!-- end: postbit_attachments_attachment -->]]></description>
			<content:encoded><![CDATA[Somebody can give me HALO for my GC Crusader?<br /><!-- start: postbit_attachments_attachment -->
<br /><!-- start: attachment_icon -->
<img src="https://uaro.kiev.ua/forum/images/attachtypes/image.png" title="PNG Image" border="0" alt=".png" />
<!-- end: attachment_icon -->&nbsp;&nbsp;<a href="attachment.php?aid=48" target="_blank" title="">Без імені.png</a> (Size: 61.36 KB / Downloads: 137)
<!-- end: postbit_attachments_attachment -->]]></content:encoded>
		</item>
		<item>
			<title><![CDATA[Quest in this Episode?]]></title>
			<link>https://uaro.kiev.ua/forum/showthread.php?tid=75</link>
			<pubDate>Tue, 16 Jul 2024 13:42:54 +0000</pubDate>
			<dc:creator><![CDATA[<a href="https://uaro.kiev.ua/forum/member.php?action=profile&uid=11">eer23</a>]]></dc:creator>
			<guid isPermaLink="false">https://uaro.kiev.ua/forum/showthread.php?tid=75</guid>
			<description><![CDATA[Sleipnir<br />
Brisingammen<br />
Gleipnir<br />
Megingjard?<br />
<br />
what a problem?<br />
<hr class="mycode_hr" />
Хіба вони в цьому патчі були?<br /><!-- start: postbit_attachments_attachment -->
<br /><!-- start: attachment_icon -->
<img src="https://uaro.kiev.ua/forum/images/attachtypes/image.png" title="PNG Image" border="0" alt=".png" />
<!-- end: attachment_icon -->&nbsp;&nbsp;<a href="attachment.php?aid=46" target="_blank" title="">Без імені.png</a> (Size: 217.69 KB / Downloads: 226)
<!-- end: postbit_attachments_attachment -->]]></description>
			<content:encoded><![CDATA[Sleipnir<br />
Brisingammen<br />
Gleipnir<br />
Megingjard?<br />
<br />
what a problem?<br />
<hr class="mycode_hr" />
Хіба вони в цьому патчі були?<br /><!-- start: postbit_attachments_attachment -->
<br /><!-- start: attachment_icon -->
<img src="https://uaro.kiev.ua/forum/images/attachtypes/image.png" title="PNG Image" border="0" alt=".png" />
<!-- end: attachment_icon -->&nbsp;&nbsp;<a href="attachment.php?aid=46" target="_blank" title="">Без імені.png</a> (Size: 217.69 KB / Downloads: 226)
<!-- end: postbit_attachments_attachment -->]]></content:encoded>
		</item>
		<item>
			<title><![CDATA[WOE STARTED!!]]></title>
			<link>https://uaro.kiev.ua/forum/showthread.php?tid=73</link>
			<pubDate>Sat, 06 Jul 2024 19:37:36 +0000</pubDate>
			<dc:creator><![CDATA[<a href="https://uaro.kiev.ua/forum/member.php?action=profile&uid=10">zelda1</a>]]></dc:creator>
			<guid isPermaLink="false">https://uaro.kiev.ua/forum/showthread.php?tid=73</guid>
			<description><![CDATA[Hi Team,<br />
<br />
It looks like the WoE has started. however, I cant see any announcements nor WoE details on the website. Any clarification?]]></description>
			<content:encoded><![CDATA[Hi Team,<br />
<br />
It looks like the WoE has started. however, I cant see any announcements nor WoE details on the website. Any clarification?]]></content:encoded>
		</item>
	</channel>
</rss>